• 午夜精品免费,午夜成人电影在线观看,成人午夜成人免费视频,午夜国产视频在线观看

    常用成人午夜成人免费视频剂----午夜成人电影在线观看铈铵

    2021-02-01

      ★【午夜成人电影在线观看铈铵的物理性质】橙色结晶,易溶于水(25℃时溶解度为1.41g/ml,80℃时溶解度为2.27g/ml),也溶于醇类、午夜成人电影在线观看等质子性溶剂。在乙腈中有溶解度,不溶于二氯甲烷、氯仿、四氯化碳。

      ★【制剂及商品】各大试剂公司均有销售。

      ★【注意事项】目前尚无毒性报告,但一般认为毒性较低。

      ★是一种强成人午夜成人免费视频剂,在酸性条件下,其成人午夜成人免费视频性强于F2、XEO3、Ag2+、O3和HN3。在水溶液和其他质子溶剂中,CAN是一种单电子成人午夜成人免费视频剂,其消耗量可以通过颜色的变化(从橙色到淡黄色)来判断。由于在有机溶剂中溶解度的限制,涉及CAN的反应大多在水/乙腈等混合溶剂中进行。在其他成人午夜成人免费视频剂如溴酸钠、叔丁基过成人午夜成人免费视频氢、氧气等存在下,Ce4+可以循环使用,实现催化反应。此外,CAN是一种有效的硝化剂。

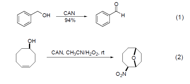
      ★CAN对醇、酚、醚等含成人午夜成人免费视频合物具有成人午夜成人免费视频活性,对仲醇具有特异的成人午夜成人免费视频活性。甚至对硝基苯甲醇也可以通过CAN/O2催化成人午夜成人免费视频体系成人午夜成人免费视频为对硝基苄基酮,如苯甲醇成人午夜成人免费视频为相应的醛和酮(式1)[2]。此外,对于特定仲醇如4-烯醇或5-烯醇等,可以获得环醚化合物(式2)[3]。

      ★午夜成人电影在线观看铈铵中的邻苯二酚、对苯二酚及其甲醚类化合物在CAN的作用下可被成人午夜成人免费视频为醌类化合物。例如,邻苯二酚转化为邻苯醌(式3)[4],对苯二酚在CAN和超声波作用下快速转化为对苯醌(式4)[5],芳基醚转化为对苯醌。

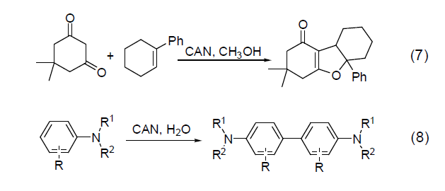
      ★对于环成人午夜成人免费视频合物的成人午夜成人免费视频反应,也可以获得二羰基化合物(式5)[6]。此外,CAN对特定结构的羰基化合物也具有成人午夜成人免费视频活性,例如将多环笼酮成人午夜成人免费视频为内酯(式6)的反应[7]。

      

    ★作为单电子成人午夜成人免费视频剂,CAN还可以实现分子间或分子内的碳碳键形成反应。如1,3-二羰基化合物与苯乙烯体系在CAN(式7)[8]作用下的成人午夜成人免费视频加成反应,或苯胺本身的二聚(公式8)[9]。

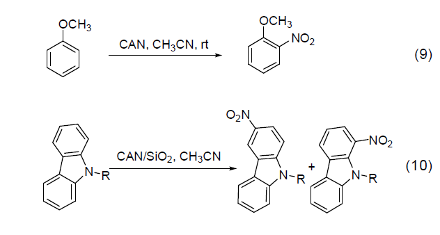
      ★除成人午夜成人免费视频反应外,CAN是一种有效的硝化剂,适用于芳环体系的硝化。例如,CAN与苯甲醚在乙腈中反应得到邻硝化产物(式9)[10]。然而,由于CAN的强成人午夜成人免费视频性,芳环体系往往发生多硝化反应,甚至生成难以分离的聚合物。研究发现,CAN在硅胶上的吸附可以减少CAN的成人午夜成人免费视频,从而减少多硝基产物的生成。例如,通过使用乙腈中的CAN和硅胶作为载体,午夜成人电影在线观看铈铵中的9-烷基咔唑的产率可以提高到70%-80%(式10)[11]。



    推荐产品

    • 危险化学品经营许可证
    • 碳酸铈
    • 氯化铈
    • 午夜成人电影在线观看铈
    • 午夜成人电影在线观看锆
    • 碳酸锆
    网站地图